seaborn의 countplot은 카테고리 값에 대한 건수를 표현. x축이 카테고리값, y축이 해당 카테고리값에 대한 건수
sns.countplot(x='Pclass', data=titanic_df)

sns.countplot(y='Pclass', data=titanic_df)

seaborn의 barplot은 x축은 이산값(주로 category값), y축은 연속값(y값의 평균/총합)을 표현
#plt.figure(figsize=(10, 6))
# 자동으로 xlabel, ylabel을 x입력값, y입력값으로 설정.
sns.barplot(x='Pclass', y='Age', data=titanic_df)

sns.barplot(x='Pclass', y='Survived', data=titanic_df)

### 수직 barplot에 y축을 문자값으로 설정하면 자동으로 수평 barplot으로 변환
sns.barplot(x='Pclass', y='Sex', data=titanic_df)

# confidence interval을 없애고, color를 통일.
sns.barplot(x='Pclass', y='Survived', data=titanic_df, ci=None, color='green')

# 평균이 아니라 총합으로 표현. estimator=sum
sns.barplot(x='Pclass', y='Survived', data=titanic_df, ci=None, estimator=sum)

bar plot에서 hue를 이용하여 X값을 특정 컬럼별로 세분화하여 시각화
# 아래는 Pclass가 X축값이며 hue파라미터로 Sex를 설정하여 개별 Pclass 값 별로 Sex에 따른 Age 평균 값을 구함.
sns.barplot(x='Pclass', y='Age', hue='Sex', data=titanic_df)

# 아래는 stacked bar를 흉내 냈으나 stacked bar라고 할 수 없음.
bar1 = sns.barplot(x="Pclass", y="Age", data=titanic_df[titanic_df['Sex']=='male'], color='darkblue')
bar2 = sns.barplot(x="Pclass", y="Age", data=titanic_df[titanic_df['Sex']=='female'], color='lightblue')

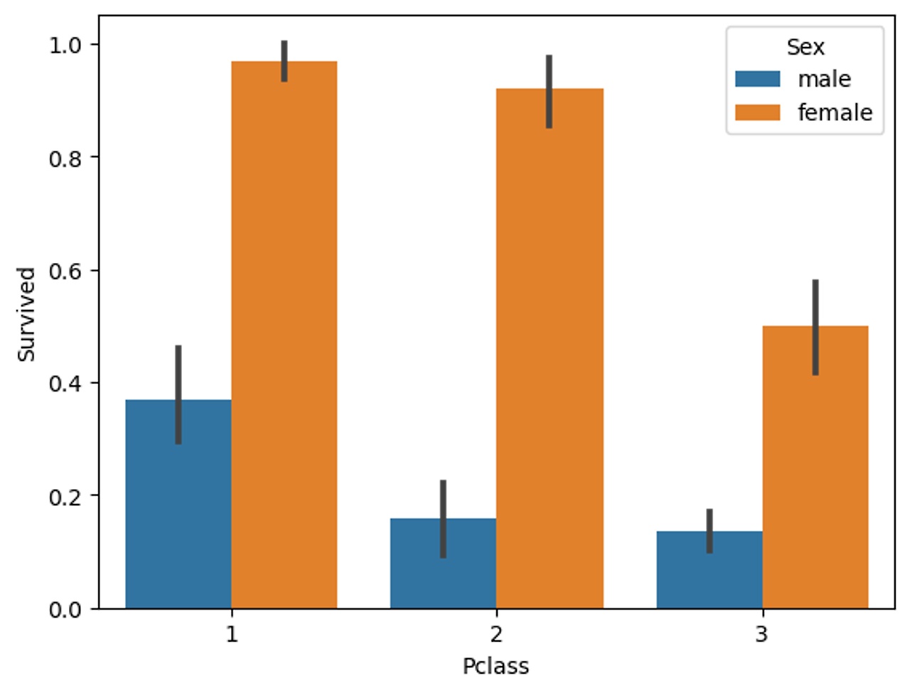
# Pclass가 X축값이며 Survived가 Y축값. hue파라미터로 Sex를 설정하여 개별 Pclass 값 별로 Sex에 따른 Survived 평균 값을 구함.
sns.barplot(x='Pclass', y='Survived', hue='Sex', data=titanic_df)

# 나이에 따라 세분화된 분류를 수행하는 함수 생성.
def get_category(age):
cat = ''
if age <= 5: cat = 'Baby'
elif age <= 12: cat = 'Child'
elif age <= 18: cat = 'Teenager'
elif age <= 25: cat = 'Student'
elif age <= 35: cat = 'Young Adult'
elif age <= 60: cat = 'Adult'
else : cat = 'Elderly'
return cat
# lambda 식에 위에서 생성한 get_category( ) 함수를 반환값으로 지정.
# get_category(X)는 입력값으로 ‘Age’ 칼럼 값을 받아서 해당하는 cat 반환
titanic_df['Age_cat'] = titanic_df['Age'].apply(lambda x : get_category(x))

sns.barplot(x='Age_cat', y='Survived', hue='Sex', data=titanic_df)

plt.figure(figsize=(10, 4))
order_columns = ['Baby', 'Child', 'Teenager', 'Student', 'Young Adult', 'Adult', 'Elderly']
sns.barplot(x='Age_cat', y='Survived', hue='Sex', data=titanic_df, order=order_columns)

sns.barplot(x='Sex', y='Survived', hue='Age_cat', data=titanic_df)

# orient를 h를 하면 수평 바 플롯을 그림. 단 이번엔 y축값이 이산형 값
sns.barplot(x='Survived', y='Pclass', data=titanic_df, orient='h')

'빅데이터 분석가 양성과정 > Python' 카테고리의 다른 글
| Seaborn - Titanic Dataset ( subplots ) (0) | 2024.07.06 |
|---|---|
| Seaborn - Tatanic Dataset(Violin plot) (0) | 2024.07.06 |
| Seaborn - Titanic Dataset ( histogram ) (0) | 2024.07.06 |
| Seaborn (1) | 2024.07.06 |
| matplotlib(2) (0) | 2024.07.06 |